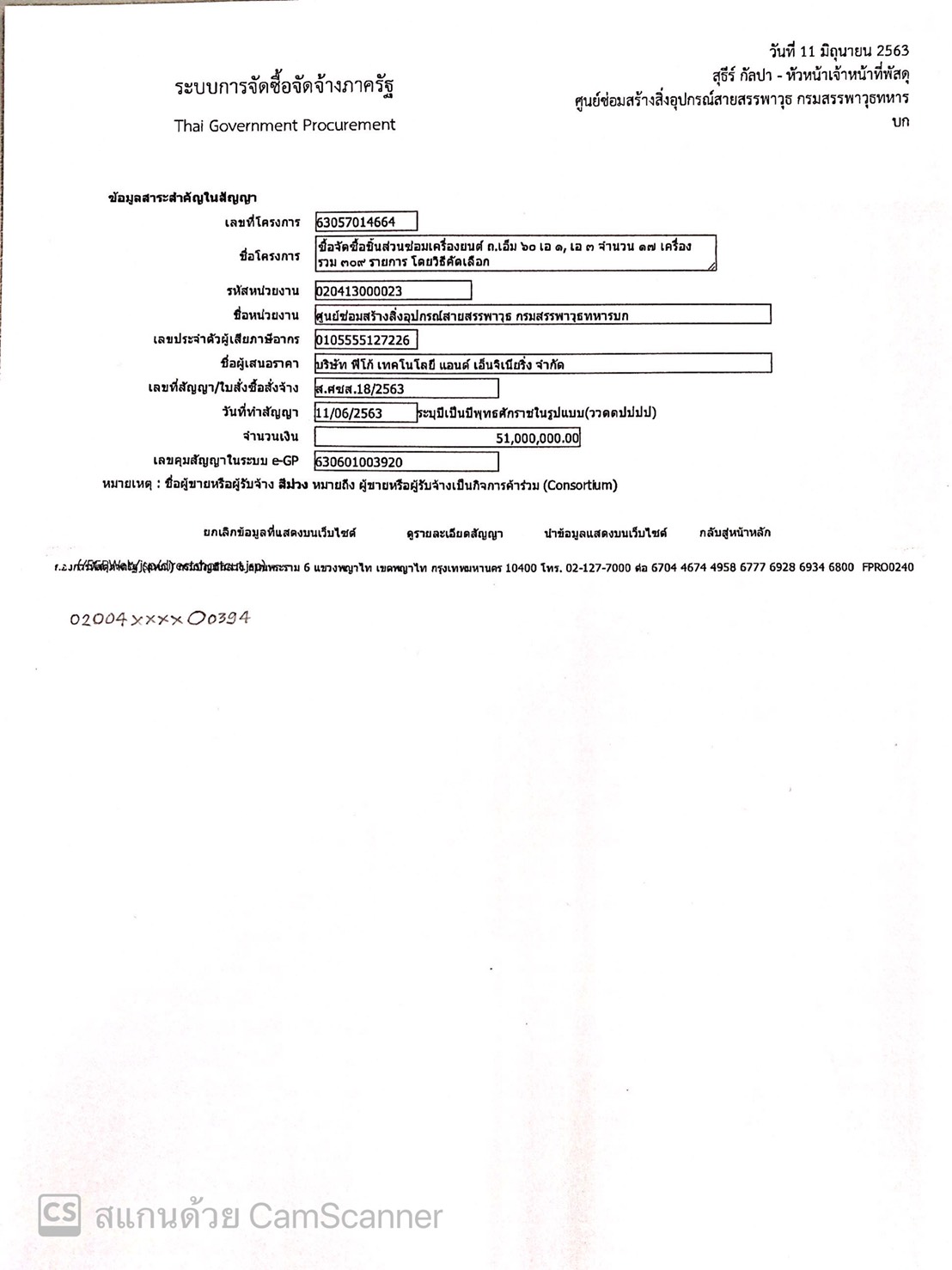
ข้อมูลสาระสำคัญในสัญญา

(สำเนา)
ประกาศ กองทัพบกโดยกรมสรรพาวุธทหารบก
เรื่อง ซื้อจัดซื้อช้นส่วนซ่อมเครื่องยนต์ ถ.เอ็ม ๖๐ เอ ๑,เอ ๓ จำนวน ๑๗ เครื่อง รวม ๓๐๙ รายการ


ตามพระราชบัญญัติการจัดซื้อจัดจ้าง และการบริหารพัสดุภาครัฐ พ.ศ. ๒๕๖๐ มาตรา ๙๘ กำหนดให้หน่วยงานของภาครัฐประกาศเผยแพร่สาระสำคัญของสัญญาหรือข้อตกลงที่ได้ลงนามแล้ว รวมทั้งการแก้ไขเปลี่ยนแปลงสัญญาหรือข้อตกลงในระบบเครือข่ายสารสนเทศของกรมบัญชีกลาง และหน่วยงานของรัฐตามที่กรมบัญชีกลางกำหนด

กองทัพบกโดยกรมสรรพาวุธทหารบก ขอประกาศเผยแพร่สาระสำคัญของสัญญาหรือข้อตกลงที่ได้ลงนามแล้วตามเอกสารที่แนบท้ายประกาศนี้

สำเนาถูกต้อง
(ลงชื่อ)  นางสาวจุฑาภรณ์  รามสูตร
ตำแหน่ง  เจ้าหน้าที่พัสดุ
๑๑  มิถุนายน  ๒๕๖๓

เอกสารแนบ
15918415631.jpg