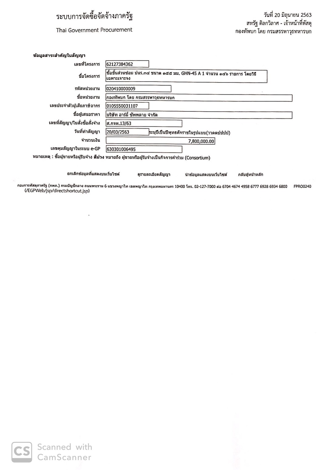
ข้อมูลสาระสำคัญในสัญญา

(สำเนา)
ประกาศ กองทัพบกโดยกรมสรรพาวุธทหารบก
เรื่อง ชิ้นส่วนซ่อมปืนใหญ่หนักกระสุนวิถีราบ 34 ขนาด 155 มิลลิเมตร GHN-45 A1 จำนวน 146 รายการ


ตามพระราชบัญญัติการจัดซื้อจัดจ้าง และการบริหารพัสดุภาครัฐ พ.ศ. ๒๕๖๐ มาตรา ๙๘ กำหนดให้หน่วยงานของภาครัฐประกาศเผยแพร่สาระสำคัญของสัญญาหรือข้อตกลงที่ได้ลงนามแล้ว รวมทั้งการแก้ไขเปลี่ยนแปลงสัญญาหรือข้อตกลงในระบบเครือข่ายสารสนเทศของกรมบัญชีกลาง และหน่วยงานของรัฐตามที่กรมบัญชีกลางกำหนด

กองทัพบกโดยกรมสรรพาวุธทหารบก ขอประกาศเผยแพร่สาระสำคัญของสัญญาหรือข้อตกลงที่ได้ลงนามแล้วตามเอกสารที่แนบท้ายประกาศนี้

สำเนาถูกต้อง
(ลงชื่อ)  ส.ต.สหรัฐ  ดิลกวิลาศ
ตำแหน่ง  เจ้าหน้าที่พัสดุ
๒๐  มิถุนายน  ๒๕๖๓

เอกสารแนบ
15926386821.jpg