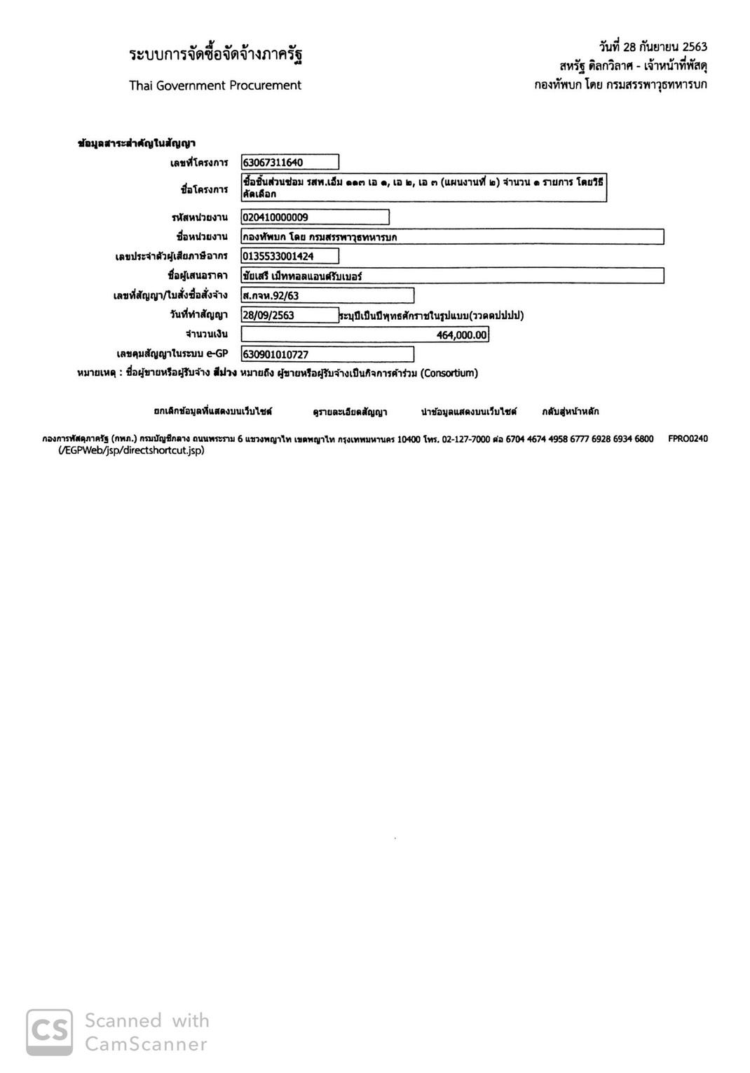
ข้อมูลสาระสำคัญในสัญญา

(สำเนา)
ประกาศ กองทัพบกโดยกรมสรรพาวุธทหารบก
เรื่อง ชิ้นส่วนซ่อมรถสายพานลำเลียงพล เอ็ม 113 เอ 1, เอ 2, เอ 3 (แผนงานที่ 2) จำนวน 1 รายการ (80 EA)


ตามพระราชบัญญัติการจัดซื้อจัดจ้าง และการบริหารพัสดุภาครัฐ พ.ศ. ๒๕๖๐ มาตรา ๙๘ กำหนดให้หน่วยงานของภาครัฐประกาศเผยแพร่สาระสำคัญของสัญญาหรือข้อตกลงที่ได้ลงนามแล้ว รวมทั้งการแก้ไขเปลี่ยนแปลงสัญญาหรือข้อตกลงในระบบเครือข่ายสารสนเทศของกรมบัญชีกลาง และหน่วยงานของรัฐตามที่กรมบัญชีกลางกำหนด

กองทัพบกโดยกรมสรรพาวุธทหารบก ขอประกาศเผยแพร่สาระสำคัญของสัญญาหรือข้อตกลงที่ได้ลงนามแล้วตามเอกสารที่แนบท้ายประกาศนี้

สำเนาถูกต้อง
(ลงชื่อ)  ส.ต.สหรัฐ  ดิลกวิลาศ
ตำแหน่ง  เจ้าหน้าที่พัสดุ
๒๘  กันยายน  ๒๕๖๓

เอกสารแนบ
16012723891.jpg