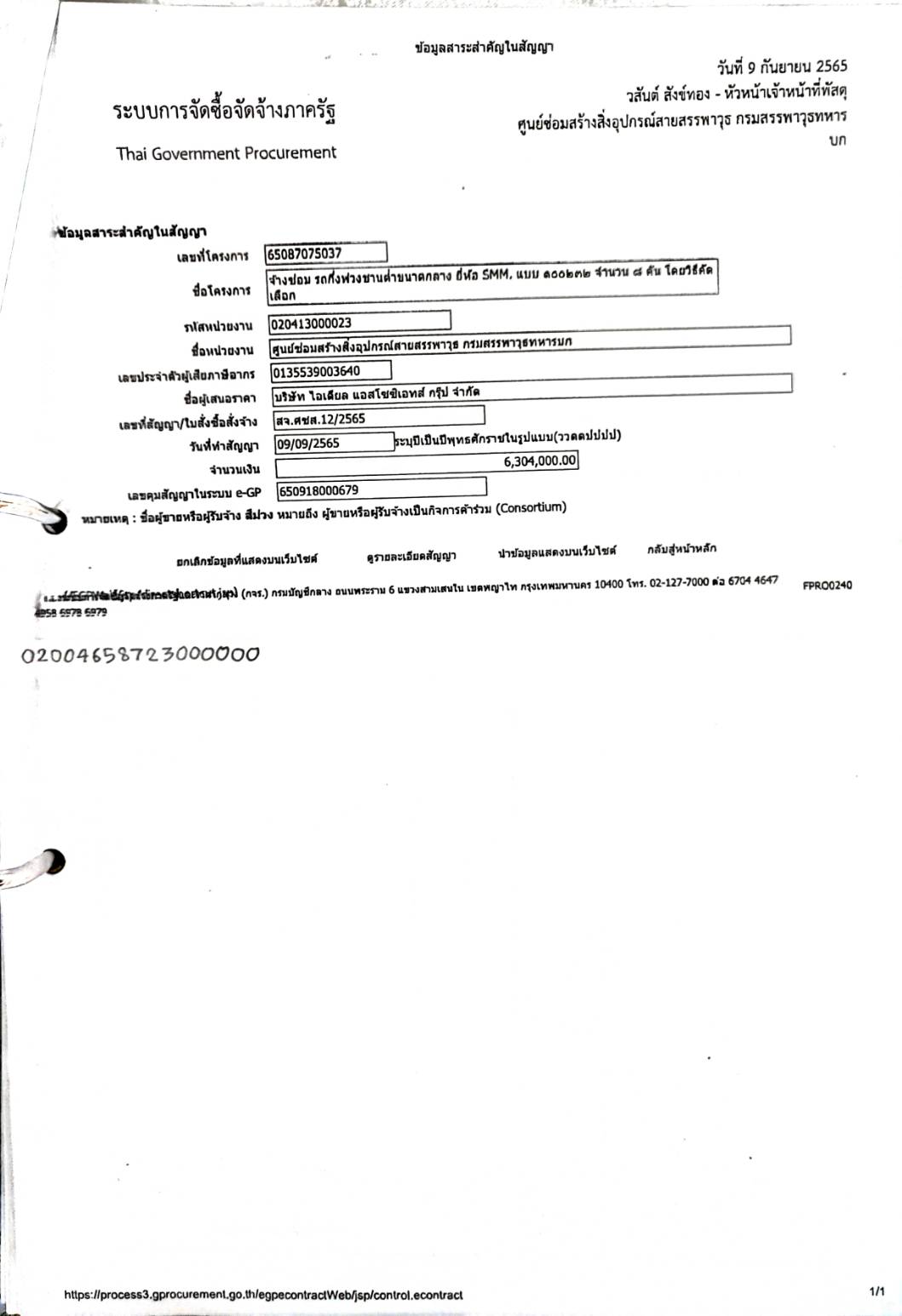
ข้อมูลสาระสำคัญในสัญญา

(สำเนา)
ประกาศ กองทัพบกโดยกรมสรรพาวุธทหารบก
เรื่อง จ้างซ่อม รถกึ่งพ่วงชานต่ำขนาดกลาง ยี่ห้อ SMM. แบบ ๑๐๐๒๓๒ จำนวน ๘ คัน


ตามพระราชบัญญัติการจัดซื้อจัดจ้าง และการบริหารพัสดุภาครัฐ พ.ศ. ๒๕๖๐ มาตรา ๙๘ กำหนดให้หน่วยงานของภาครัฐประกาศเผยแพร่สาระสำคัญของสัญญาหรือข้อตกลงที่ได้ลงนามแล้ว รวมทั้งการแก้ไขเปลี่ยนแปลงสัญญาหรือข้อตกลงในระบบเครือข่ายสารสนเทศของกรมบัญชีกลาง และหน่วยงานของรัฐตามที่กรมบัญชีกลางกำหนด

กองทัพบกโดยกรมสรรพาวุธทหารบก ขอประกาศเผยแพร่สาระสำคัญของสัญญาหรือข้อตกลงที่ได้ลงนามแล้วตามเอกสารที่แนบท้ายประกาศนี้

สำเนาถูกต้อง
(ลงชื่อ)  ส.ต.นราศักดิ์  บุญมา
ตำแหน่ง  เจ้าหน้าที่พัสดุ
๙  กันยายน  ๒๕๖๕

เอกสารแนบ
16878271971.jpg